Periodische Faltung und Zero Padding

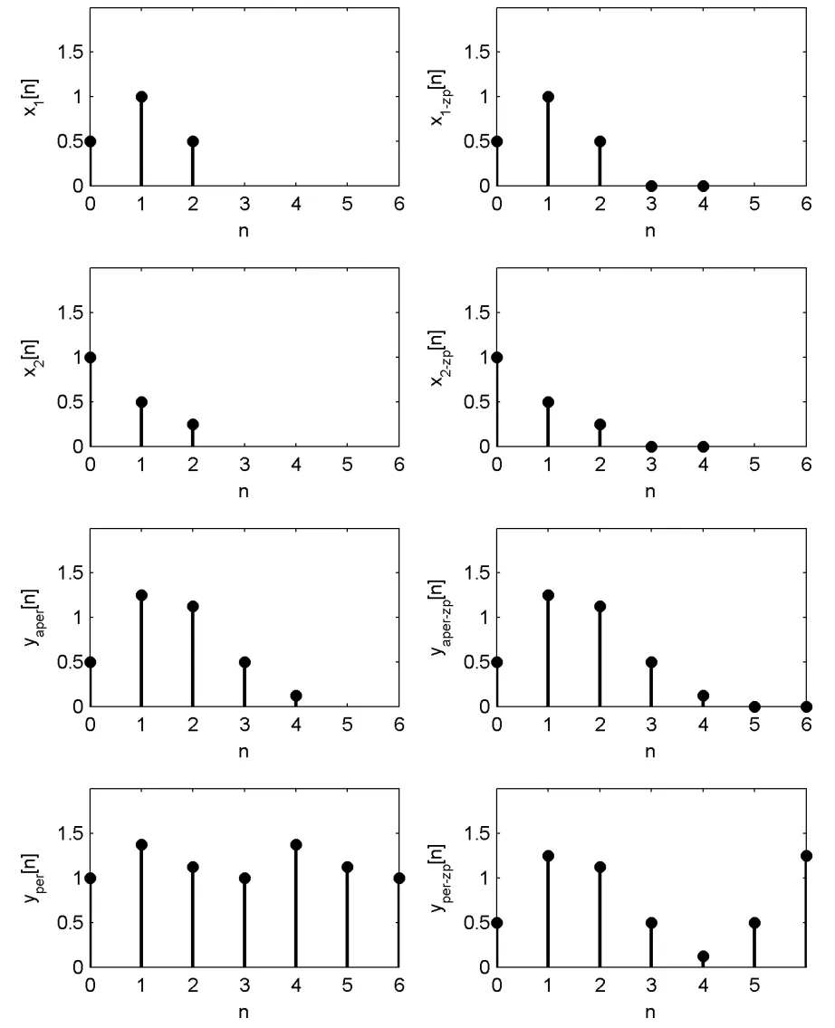
Periodische Faltung: Die DFT impliziert eine periodische Faltung aufgrund ihrer periodischen Natur. Wenn man zwei Signale im Zeitbereich mittels der DFT multipliziert, entspricht das einer periodischen Faltung dieser Signale im Zeitbereich. Dies bedeutet, dass das Ausgangssignal eine Periode hat, die der Länge des DFT-Eingangs entspricht, und dass Effekte der Überlappung (Wrap-around-Effekte) auftreten können, wenn die Signale nicht entsprechend vorbereitet werden.
Zero Padding: Zero Padding ist eine Technik, die oft verwendet wird, um die Anzahl der Punkte in einem Signal vor der Anwendung der DFT zu erhöhen. Das Hinzufügen von Nullen (“Padding”) zum Ende eines Signals verändert nicht seine ursprüngliche Information, verbessert aber die Frequenzauflösung der DFT. Zero Padding kann auch dazu beitragen, die Effekte der periodischen Faltung zu minimieren, indem es sicherstellt, dass die Länge des gepolsterten Signals ausreichend groß ist, um Wrap-around-Effekte zu vermeiden. Es ist wichtig zu beachten, dass Zero Padding die tatsächliche spektrale Information des Signals nicht verändert; es ermöglicht lediglich eine feinere Abtastung des DFT-Spektrums.
- rewrite in own words