Decision Theory
- decision variable , where A is called the domain of the decision space.
- outcome
- utility function
1. Principal of Maximal Expected Utility
- : searches for the maximal value for
- searches for the which leads to the maximal value of
everything is optimal since everything has some cost function which will be optimised against -> our definition of optimal has nothing to do with a normative judgement
Background reading: Toussaint, Ritter & Brock: The Optimization Route to Robotics – and Alternatives. Ku ̈nstliche Intelligenz, 2015
Theorem: If preferences are “consistent” (orderable, transitive, continuous, substitutable, monotone, decomposable)
- There exists a utility function such that the agent’s preferences are consistent to
- The utility of a probabilistic outcome is the expected utility
every agent that has a preference, there exists a utility function
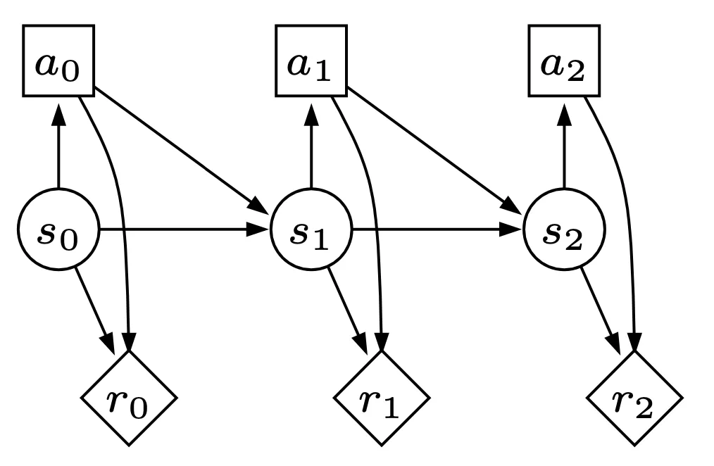
2. Decision Networks
